Miha Marinšek
University of Maribor
Klemen Bedenik
Association of Maribor Sports Clubs Brani
https://doi.org/10.53656/str2025-2s-6-enh
Abstract. The development of fundamental movement skills (FMS) in early childhood is crucial for lifelong physical activity. Despite its importance, structured interventions targeting FMS in early educational settings are limited in numbers. The present study examines the effectiveness of a 14-session collaborative, multi-sport intervention program in improving FMS among 270 Slovenian preschool children aged 4 – 6 years. The experimental group (n = 135) participated in eight FMS-focused sessions and six sport-specific sessions, while the control group (n = 135) followed the standard curriculum. FMS was assessed using the Test of Gross Motor Development-3 (TGMD-3) at baseline and post-intervention, whilst linear mixed models were employed to evaluate the program’s impact. Results showed statistically significant improvements in both locomotor and ball skills in the experimental group, with a moderate effect showing for locomotor skills and a small effect on ball skills. These findings highlight the potential of collaborative programs between educators and sports professionals to promote FMS in early childhood education.
Keywords: early childhood education; motor competence; physical literacy; community-based intervention; quasi-experimental design
Introduction
Despite the recognised importance of fundamental movement skills (FMS) for long-term physical activity participation (Iivonen, Sääkslahti, & Nissinen, 2011; Lloyd et al. 2014), overall health, well-being and academic success (Goodway, Crowe, & Ward 2003), many early childhood education settings still lack structured and targeted interventions that effectively promote these skills. These interventions are crucial for typically developing children aged 2 to 6 years, as preschool period represents a critical window for acquiring and refining motor skills (Stodden et al. 2008).
Previous studies have clearly demonstrated the benefits of FMS-focused programmes, particularly in structured physical education lessons (Logan et al. 2012; Haugland et al. 2024; Van Capelle et al. 2017). Moreover, research has indicated that boys and girls may start with different baseline levels in various FMS (Costello & Warne 2020; Goodway, Robinson, & Crowe 2010). The integration of external experts rather than implementation of the programs by the usual preschool teachers resulted in higher effect sizes (Wick et al. 2017). However, there is a lack of research examining collaborative models, where physical education experts or community stakeholders (e.g., sport club professionals) and preschool teachers work together to deliver interventions as McKenzie and Lounsbery (2013) suggested, particularly in diverse, multi-sport contexts. This gap in the literature highlights the need for innovative interventions that combine various sport-specific activities with a structured focus on FMS development, thereby offering a more comprehensive approach to skill acquisition in early childhood.
The present study addresses this gap by implementing a collaborative multi-sport intervention programme involving preschool teachers and sports instructors. This approach uniquely integrates the pedagogical expertise of early childhood educators with the specialised knowledge of physical education instructors, ensuring that general FMS and sport-specific skills are addressed within the intervention. Furthermore, the intervention’s structured sessions—comprising a combination of targeted FMS practice and diverse sports activities – provide a comprehensive framework that supports the development of motor competence across multiple domains. Such a collaborative and multi-sport approach represents a significant advancement over previous studies that relied on more limited, single-domain or single-instructor interventions. Moreover, the programme’s integration of local sports and community resources suggests potential scalability across diverse cultural and educational settings, offering a model for early childhood education that is adaptable and contextually relevant.
Based on the unique design of this intervention and research documenting the effectiveness of FMS interventions in children (Logan et al. 2012; Haugland et al. 2024; Van Capelle et al. 2017), it was hypothesized that: (1) the collaborative multi-sport programme will result in significantly greater improvements in FMS compared to the standard curriculum; (2) the intervention programme will facilitate equal improvements across age groups; and (3) the intervention programme will facilitate equal improvements across genders.
Methodology
Participants
A total of 270 children, aged between 4 and 6 years (Mean = 4.77 years, SD = 0.72), participated in the study. The sample comprised 51.9% boys (n = 140) and 48.1% girls (n = 130). The children were recruited based on their typical developmental trajectory, and the inclusion criteria focused on children aged 4 to 6 years. The participants were evenly divided into two groups: an experimental group (EG) and a control group (CG), each comprising 135 children (50%).
The study complied with the ethical principles of the Declaration of Helsinki and was approved by the Ethics Committee of the Faculty of Arts at the University of Maribor (protocol code 038-21-111/2021/4). Informed consent was obtained from the parents of all participating children, and the kindergarten principals provided their agreement for the kindergartens to participate in the project.
Intervention Programme
The intervention programme was designed based on the TGMD-3 framework for FMS and the Slovenian Kindergarten Curriculum (Bahovec et al. 1999), which emphasizes active community engagement and utilization of local resources, such as sports clubs. The primary aim was to enhance children’s FMS through a structured, multi-faceted approach, integrating eight 40-minute targeted FMS development sessions with six 40-minute sport-specific sessions including rhythmic gymnastics, judo, football, tennis, volleyball, and alpine skiing indoor training obstacles. These sports are deeply embedded in the local culture, with a long-standing tradition in the region, and their integration aligns with the natural environment and local infrastructure. Apart from football, all sessions were conducted in the indoor sports hall.
A key feature of the intervention was the active involvement of a sport instructor alongside two preschool teachers (teacher and assistant) in each group throughout all sessions. The latter were the children’s regular preschool teachers who had worked with them over the course of the school year, ensuring continuity and familiarity for the children.
Each session followed the principles of effective instruction, incorporating developmentally and instructionally appropriate practices. The sport instructor began by briefly explaining and demonstrating skills to be taught that day. Children were then randomly divided into five to six groups and assigned to skill stations. At each station, instructors (either sport instructor, preschool teacher or assistant) used a direct instructional approach. Clear directions and demonstrations were provided for each activity. As children demonstrated proficiency, progressions to more advanced activities were introduced. For example, at a forehand strike station, the progression might include: a) Carrying the ball on the racket, b) Striking a stationary ball from the hand, and c) Striking a bouncing ball. Sports props and aids (e.g., hobby horse riding toy for hopping) were used to enhance the engagement and facilitate skill learning. Instructors consistently provided systematic, specific and positive feedback, both encouraging and corrective, to guide the children’s progress. The activities were tailored to challenge each child according to their individual ability, allowing them to progress at their own pace if instructors identified the need to do so. This involved modifying tasks, equipment and feedback to suit each child’s skill level. As the sessions progressed, the focus shifted to sport-specific activities, where children applied their fundamental skills in sport contexts, integrating elements such as game strategy, rules, and dynamic skill application. For instance: twirling ribbons while galloping and sliding; sliding to either side to avoid being grappled; passing a ball to a moving partner and receiving it in return; engaging in a basic tennis rally where players strike the ball back and forth; hitting a lightweight ball over a low net using an underhand serve technique; side-to-side sliding for skiing practice.
Daily fidelity checks assessed the intervention’s feasibility and quality by calculating the percentage of sessions meeting predetermined explicit criteria such as structure and duration of sessions, identified personnel, proper instructions etc.
The CG did not receive specialized FMS training, instead they continued with their usual daily activities, including standard physical education classes as per curriculum. These classes followed general kindergarten guidelines without emphasizing FMS development. Both groups were exposed to similar environments, using the same facilities and maintaining comparable daily schedules, ensuring controlled external factors.
Procedures and Measures
The TGMD-3, a validated and reliable tool for assessing fundamental motor skills (FMS) in children aged 3-10 years, was employed (Marinšek et al. 2023; Ulrich 2019). The TGMD-3 evaluates six locomotor skills (LOC) and seven ball-related skills (BS). Each child was given two attempts to perform each skill, following verbal explanations and demonstrations. Performance was evaluated against a checklist of three to five specific criteria, with correct executions receiving 1 point and incorrect or missed executions receiving 0 points.
The total score for each child was calculated by summing the correctly performed criteria across two trials for each skill. The maximum possible score for locomotor skills was 46 points, and for ball skills, it was 54 points, leading to a total score of 100 points. A higher score indicated a higher level of FMS proficiency.
All skill performances were video recorded, and three trained assessors, who had completed a two-week intensive training program prior to the study, evaluated the footage. The assessors were required to demonstrate at least 80% agreement with a reference assessor to ensure competency in applying the TGMD-3 assessment protocol.
Data Analyses
A linear mixed model was employed to evaluate the effects of a 14-week intervention programme on LOC and BS. The outcome variables were LOC and BS, measured at two-time points: pre-test and post-test. The model controlled for pre-test scores by including random intercepts for participants, accounting for baseline variability. The assumptions of linearity, independence, and homoscedasticity were checked. Residuals vs. fitted values plots indicated that the relationships between predictors and outcomes were linear, and the residuals exhibited constant variance. The Durbin-Watson statistic for LOC was 1.45, and for BS, 1.77, suggesting that the residuals were largely independent. However, the Shapiro-Wilk test for residuals indicated significant deviations from normality for both LOC (p < .001) and BS (p < .001). To address the non-normality in residuals, a Box-Cox transformation was applied to both LOC and BS, which improved the normality of the residuals, as verified by Q-Q plots and Shapiro-Wilk tests, indicating a better fit for the data.
Additionally, linear mixed models were employed to evaluate the effects of the intervention programme across age groups and gender, but only within the EG. Fixed effects included Test (Pre-Test vs. Post-Test), Age Group (4 years vs. 5 years vs. 6 years), Gender (Girls vs. Boys), and their interactions. Random intercepts for participants were included to account for individual variability. The assumptions of linearity, independence, homoscedasticity, and normality were checked and satisfied for these models, with the Durbin-Watson statistics close to the ideal value of 2.0 for both LOC (1.76) and BS (1.89). The Shapiro-Wilk test results indicated no significant deviations from normality for LOC (p = 0.16) and BS (p = 0.41), suggesting that the residuals followed a normal distribution.
Effect sizes were calculated using Cohen’s d, based on raw scores (pre-transformation), to assess the magnitude of change from pre-test to post-test within each group. A small effect was considered d = 0.20, a medium effect d = 0.50, and a large effect d = 0.80.
Results
The results showed that all exercise sessions fully complied with fidelity criteria, thus ensuring the consistency and integrity of the implementation process throughout the entire intervention programme.
Intervention Effect
The linear mixed model revealed a significant Group × Test interaction, b = 3.45, SE = 0.75, z = 4.63, p < .001, indicating that the EG showed greater improvement in LOC compared to the CG. The effect size for the EG was moderate (d = -0.42), while the CG showed a negligible effect size (d = -0.03).
Table 1. Results of linear mixed models for LOC and BS
| Term | LOC | BS | ||||||
| b | SE | z | p | b | SE | z | p | |
| Intercept | 30.47 | 1.06 | 28.75 | < .001 | 27.55 | 0.98 | 28.04 | < .001 |
| Group | -8.40 | 1.50 | -5.60 | < .001 | -7.66 | 1.39 | -5.51 | < .001 |
| Test | 0.26 | 0.53 | 0.49 | 0.623 | 0.29 | 0.46 | 0.63 | 0.529 |
| Group × Test | 3.45 | 0.75 | 4.63 | < .001 | 2.22 | 0.65 | 3.42 | 0.001 |
The linear mixed model for BS also demonstrated a significant Group × Test interaction, b = 2.22, SE = 0.65, z = 3.42, p = .001, with the EG showing greater improvement in BS than the CG. The effect size for the EG was small (d = -0.28), while the CG had a negligible effect (d = -0.03).
Gender Effects
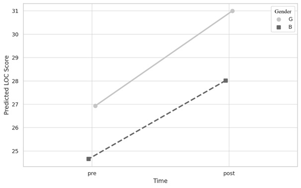
A linear mixed model was fitted to examine the impact of time (pre- and post-intervention) and gender (boys and girls) on LOC within the EG. The model included random intercepts for participants. The results indicated a marginally significant main effect of gender, b = 2.99, SE = 1.53, z = 1.96, p = .050, with girls showing slightly higher locomotor skill scores compared to boys. However, the interaction between time and gender was not significant, b = -0.71, SE = 1.36, z = -0.52, p = .602, indicating that the intervention’s effectiveness in improving LOC did not differ between boys and girls.

Figure 1. Predicted LOC scores for pre- and post-test across EG’s gender
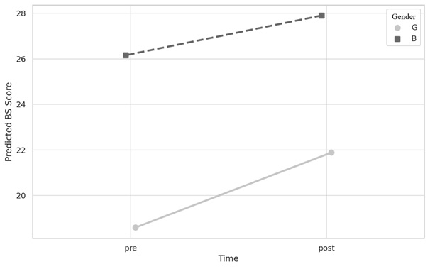
Similarly, a linear mixed model was fitted to analyze the impact of time and gender on BS within the EG. A significant main effect of gender was observed, b = -6.02, SE = 1.41, z = -4.27, p < .001, with boys showing higher scores compared to girls. However, the interaction between time and gender was not significant, b = -1.55, SE = 1.16, z = -1.33, p = .182, suggesting that the intervention’s impact on BS was consistent for both boys and girls.

Figure 2. Predicted BS scores for pre- and post-test across EG’s gender
Age Group Effects
The effects of the intervention across age groups (Age 4: 3.50 to 4.49 years, Age 5: 4.50 to 5.49 years, Age 6: 5.50 years and above) were also examined. The linear mixed models showed significant differences in baseline scores across age groups but no significant differences in improvement due to the intervention.

Figure 3. Predicted LOC scores for pre- and post-test across EG’s age groups
For LOC, the model indicated that, compared to Age 4, participants in Age 5 had significantly higher baseline scores, b = 7.09, p = .002, and participants in Age 6 had even higher baseline scores, b = 10.76, p < .001. Similarly, for BS, participants in Age 5, b = 5.74, p = .006, and Age 6, b = 6.85, p = .007, had higher baseline scores compared to Age 4.
The intervention resulted in a significant improvement in LOC for the EG, b = 3.69, p = .002, with medium effect sizes observed for Age 4 (d = 0.51) and Age 5 (d = 0.50), and a smaller effect for Age 6 (d = 0.16). For BS, the intervention led to significant improvements in the EG, b = 2.07, p = .043, with Age 6 showing the largest effect size (d = 0.53), while Age 4 (d = 0.36) and Age 5 (d = 0.25) displayed smaller effects.

Figure 4. Predicted BS scores for pre- and post-test across EG’s age groups
However, there were no significant differences in improvement from the intervention across age groups. For LOC, Age 5 showed no significant interaction effect with the intervention, b = 0.05, SE = 1.65, z = 0.03, p = .974, and Age 6 similarly showed no significant difference in improvement, b = -2.24, SE = 2.14, z = -1.05, p = .295. For BS, Age 5 also showed no significant interaction effect, b = 0.03, SE = 1.44, z = 0.02, p = .985, and Age 6 had no significant improvement difference, b = 1.12, SE = 1.87, z = 0.60, p = .551.
The findings suggest that while age groups differed significantly in their baseline scores, there were no statistically significant differences in how the age groups responded to the intervention. The intervention was equally effective across the different age groups for both LOC and BS, with consistent medium effect sizes for LOC and small effect sizes for BS across all age groups. Although not statistically significant, children aged 6 showed a smaller effect size for LOC but demonstrated the largest effect size for BS, possibly reflecting developmental differences in how motor skills evolve.
Discussion
Intervention Effects
This study introduced a novel multi-sport intervention program, integrating FMS practice with diverse sport-specific activities. While the value of FMS practice is well-documented, the combination of FMS and multi-sport approaches has not been extensively tested in preschool settings. The positive outcomes observed in both LOC and BS in this study provide strong evidence supporting the implementation of such programs in early childhood education. These findings contribute to the growing body of evidence on movement skill interventions and open new avenues for exploring how multi-sport approaches can enhance early childhood physical development and physical literacy. Given the increasing emphasis on physical literacy as a critical component of lifelong physical activity, this study highlights the importance of early intervention using a comprehensive, multi-sport framework to promote holistic motor development.
Gender Effects
The results showed that girls in the EG displayed slightly higher locomotor skills compared to boys and boys displayed higher ball skills compared to girls. Although not conclusive, this finding aligns with some literature suggesting that girls may perform better on LOC compared to boys and boys perform better on BS compared to girls (Barnett et al., 2015; Aye et al., 2018; Niemisto et al., 2019). However, the lack of a significant interaction between time and gender suggests that the intervention’s effects on improving LOC as well as BS were consistent for both boys and girls, indicating that any observed differences between boys and girls in improvements were minor. This is encouraging, as it highlights the potential for such programs to provide equitable benefits across genders (Goodway, Robinson, & Crowe, 2010) and underscores the program’s potential to benefit all children, regardless of gender. It has been shown previously that pre-existing differences in FMS skills between boys and girls can be reduced by the intervention (Costello & Warne 2020), which would be a key step in diminishing gender-based inequality in physical skill development. A more targeted approach within future iterations of the program could focus on diminishing these baseline differences further, which may help in promoting greater equality in FMS skills between boys and girls, ultimately reducing disparities in physical literacy outcomes.
Age Group Effects
The findings that Age 6 participants showed a smaller effect size for locomotor skills (LOC) but the largest effect size for ball skills (BS) may be attributed to the different developmental trajectories of these two types of skills. Locomotor skills are usually mastered by the age of six, leaving less room for improvement (Gallahue & Ozmun, 2012). In contrast, younger children (Ages 4 and 5) are often in the earlier phases of locomotor skill acquisition and may still be refining the coordination and balance necessary for these skills. Ball skills, on the other hand, are more complex than locomotor skills because they involve a combination of fine motor control, and hand-eye coordination and thus require a more complex and demanding sensory-motor integration (Donath et al., 2015). These skills are known to develop later in childhood compared to locomotor skills. Given that younger children may struggle with the cognitive and perceptual demands of ball skills, Age 6 children undergo significant improvements in neuromuscular control and cognitive processing, which are critical for mastering complex, coordinated movements like those required in ball skills. Age 6 children likely experienced the greatest gains in ball skills during the intervention, therefore, the larger effect size for BS in this group. Although some differences were observed in improvements across age groups, these differences were not statistically significant in this study. The multi-sport intervention was well-suited to supporting motor skill development across different age groups, but its effects were probably differentiated by the developmental stage of each group. Thus, interventions should be tailored to the developmental readiness of children. For younger children, interventions may focus on improving fundamental locomotor skills, while for older children, more emphasis can be placed on fine-tuning ball skills and other complex motor tasks that require cognitive and perceptual-motor integration.
Conclusions
The findings from this study highlight the effectiveness of a collaborative, multi-sport intervention programme in enhancing FMS among preschool children. By combining targeted FMS sessions with diverse sport-specific activities, this intervention not only improved both locomotor and ball skills, but also demonstrated the value of integrating local sports and community resources into early childhood education.
The significant improvement observed in the experimental group, particularly in locomotor skills, underscore the potential of structured, multi-faceted programmes in fostering motor competence at a critical developmental stage. Furthermore, the intervention’s equal effectiveness across gender and age groups suggests that such programmes can provide broad, equitable benefits, supporting both boys and girls, as well as children at different developmental stages.
In addition to the direct physical benefits, the incorporation of culturally and historically significant sports within the local environment reinforces the importance of tailoring interventions to the specific context of the children involved. This approach not only engages children through familiar activities but also promotes community involvement and sustained interest in physical activity.
In conclusion, this study supports the use of collaborative multi-sport interventions in early childhood education to enhance FMS and promote long-term physical activity. Importantly, the scalability and adaptability of the programme should be considered, as it has the potential to be implemented in various cultural settings with appropriate modifications. Future programmes aimed at fostering physical literacy and motor skill development could benefit from incorporating diverse sports and engaging local communities. Further research should explore the long-term impact of such interventions and the potential for scalability in different educational settings.
Acknowledgments
This research was supported by grant D5-RR-1-24-001 from the Sports Foundation of the Republic of Slovenia.
REFERENCES
AYE, T.; KURAMOTO-AHUJA, T.; SATO, T.; SADAKIYO, K.; WATANABE, M. & MARUYAMA, H., 2018. Gross motor skill development of kindergarten children in Japan. Journal of Physical Therapy Science, vol.30, no. 5, pp. 711 – 715.
BAHOVEC, E. D.; BREGAR, K. G.; ČAS, M.; DOMICELJ, M.; SAJE HRIBAR, N.; JAPELJ, B.; JONTES, B.; KASTELIC, L.; KRANJC, S., MARJANOVIČ UMEK, L.; POŽAR MATIJAŠIČ, N.; VONTA, T. & PEZDIR VOVK, A., 1999. Kurikulum za vrtce [Curriculum for kindergartens]. Ministrstvo za šolstvo in šport.
BARNETT, L. M.; RIDGERS, N. D. & SALMON, J., 2015. Associations between young children’s perceived and actual ball skill competence and physical activity. Journal of Science and Medicine in Sport, vol.18, no. 2, pp. 167 – 171. https://doi.org/10.1016/j.jsams.2014.03.001.
COSTELLO, K. & WARNE, J., 2020. A four-week fundamental motor skill intervention improves motor skills in eight to 10-year-old Irish primary school children. Cogent Social Sciences, vol.6, no. 1, 1724065. https://doi.org/10.1080/23311886.2020.1724065.
DONATH, L.; FAUDE, O.; HAGMANN, S.; ROTH, R. & ZAHNER, L., 2015. Fundamental movement skills in preschoolers: A randomized controlled trial targeting object control proficiency. Child: Care, Health and Development, vol.41, no. 6, pp. 1179 – 1187. https://doi.org/10.1111/cch.12241.
GALLAHUE, D. & OZMUN, J., 2012. Understanding motor development: Infants, children, adolescents, adults (7th ed.). McGraw-Hill.
GOODWAY, J. D.; CROWE, H. & WARD, P., 2003. Effects of motor skill instruction on fundamental motor skill development. Adapted Physical Activity Quarterly, vol.20, no. 3, pp. 298 – 314. https://doi.org/10.1123/apaq.20.3.298.
GOODWAY, J. D.; ROBINSON, L. E. & CROWE, H., 2010. Gender differences in fundamental motor skill development in disadvantaged preschoolers from two geographical regions. Research quarterly for exercise and sport, vol. 81, no. 1, pp. 17 – 24.
HAUGLAND, E. S.; NILSEN, A. K. O.; VABØ, K. B.; PESCE, C.; BARTHOLOMEW, J.; OKELY, A. D.; TJOMSLAND, H. E.; AADLAND, K. N. & AADLAND, E., 2024. Effects of a staff-led multicomponent physical activity intervention on preschoolers’ fundamental motor skills and physical fitness: The ACTNOW cluster-randomized controlled trial. The International Journal of Behavioral Nutrition and Physical Activity, vol. 21, no. 1. https://doi.org/10.1186/s12966-024-01616-4.
IIVONEN, S.; SÄÄKSLAHTI, A. & NISSINEN, K., 2011. The development of fundamental motor skills of four- to five-year-old preschool children and the effects of a preschool physical education curriculum. Early Child Development and Care, vol. 181, no. 3, pp. 335 – 343. https://doi.org/10.1080/03004430903387461.
Logan, S. W., Robinson, L. E., Wilson, A. E., & Lucas, W. A. (2012). Getting the fundamentals of movement: A meta-analysis of the effectiveness of motor skill interventions in children. Child: Care, Health and Development, vol. 38, no. 3, pp. 305 – 315. https://doi.org/10.1111/j.1365-2214.2011.01307.x.
LLOYD, M.; SAUNDERS, T. J.; BREMER, E. & TREMBLAY, M. S., 2014. Long-term importance of fundamental motor skills: A 20-year follow-up study. Adapted physical activity quarterly, vol. 31, no. 1, pp. 67 – 78.
MARINŠEK, M.; BEDENIK, K. & KOVAČ, M., 2023. Psychometric Proprieties of the Slovenian Version of the Test of Gross Motor Development–3. Journal of Motor Learning & Development, vol. 11, pp. 209 – 223.
MCKENZIE, T. L. & LOUNSBERY, M. A. F., 2013. Physical education teacher effectiveness in a public health context. Research Quarterly for Exercise and Sport, vol. 84, no. 4, pp. 419 – 430. https://doi.org/10.1080/02701367.2013.844025.
NIEMISTO, D.; FINNI, T.; HAAPALA, E. A.; CANTELL, M.; KORHONEN, E., & SAAKSLAHTI, A., 2019. Environmental correlates of motor competence in children – The skilled kids study. International Journal of Environmental Research and Public Health, vol. 16, no. 11, 1989. https://doi.org/10.3390/ijerph16111989.
STODDEN, D. F.; GOODWAY, J. D.; LANGENDORFER, S. J.; ROBERTON, M. A., RUDISILL, M. E.; GARCIA, C. & GARCIA, L. E., 2008. A developmental perspective on the role of motor skill competence in physical activity: An emergent relationship. Quest, vol. 60, no. 2, pp. 290 – 306. https://doi.org/10.1080/00336297.2008.10483582.
ULRICH, D. A., 2019. Test of gross motor development (3rd ed.). Pro-ed.
VAN CAPELLE, A., BRODERICK, C. R., VAN DOORN, N., WARD, R. E., & PARMENTER, B. J., 2017. Interventions to improve fundamental motor skills in pre-school aged children: A systematic review and meta-analysis. Journal of Science and Medicine in Sport, vol. 20, no. 7, pp. 658-666. https://doi.org/10.1016/j.jsams.2016.11.008.
WICK, K., LEEGER-ASCHMANN, C. S., MONN, N. D., RADTKE, T., OTT, L. V., REBHOLZ, C. E., & KRIEMLER, S., 2017. Interventions to promote fundamental movement skills in childcare and kindergarten: A systematic review and meta-analysis. Sports Medicine, vol. 47, pp. 2045 – 2068. https://doi.org/10.1007/s40279-017-0723-1.
Dr. Miha Marinšek, Assoc. Prof.
Faculty of Education
University of Maribor
Maribor, Slovenia
E-mail: miha.marinsek@um.si
Klemen Bedenik
Association of Maribor Sports Clubs Branik
Maribor, Slovenia
>> Download the article as a PDF file <<



